主要內容:針對發生泄漏的蘭州石化煉油廠柴油加氫裝置高壓熱交換器E1102,進行了設計、制造及運行工況分析,確定造成換熱管腐蝕開裂的主要原因為實際工況偏離設計工況。根據實際工況重新核算了銨鹽結晶溫度,對比了銨鹽結晶溫度與管程介質運行溫度,確認實際工況的偏離不足以造成氯化銨結晶析出。在考慮換熱管內壁存在層流區及結焦等非理想情況后,重新核算了換熱管內壁的壁面溫度,確認其低于介質溫度和銨鹽結晶溫度,是造成熱交換器E1102報廢的根本原因。根據原因分析結果,提出了設備和操作兩方面的結鹽預防措施。
關鍵詞:高壓熱交換器;腐蝕;泄漏;原因分析;預防措施
高壓熱交換器是柴油加氫裝置的關鍵設備之一,其管程介質為加氫反應后的柴油、氫氣以及反應生成的硫化氫、氨氣、水及氯化銨等。當高壓熱交換器操作溫度低于銨鹽結晶溫度時,管程介質析出銨鹽,銨鹽沉積在管束中,造成換熱效果變差,管程壓降異常增大,而且易產生垢下腐蝕,導致管束內漏,嚴重影響裝置的長周期安全運行[1-6]。中國石油蘭州石化公司煉油廠(簡稱蘭州石化煉油廠)柴油加氫裝置使用的高壓熱交換器在設計時便將銨鹽析出堵塞換熱管和銨鹽沉積腐蝕換熱管的可能性納入考慮,采取了選用相應的耐腐蝕材料、設定管程介質出口溫度高于銨鹽結晶溫度以及在換熱流程中增加注水沖洗回路等預防措施。
1 柴油加氫裝置高壓熱交換器設計概況
1.1 高壓熱交換器換熱流程
蘭州石化煉油廠柴油加氫裝置共有5臺高壓熱交換器,分別為反應流出物/混合進料熱交換器E1101、反應流出物/分餾塔進料熱交換器E1102、反應流出物/混合進料熱交換器E1103A/B/C。這5臺高壓熱交換器換熱工藝流程見圖1。

圖1 柴油加氫裝置高壓熱交換器換熱流程
圖1換熱流程中,E1102后的注水為防止銨鹽析出專門設置的兩路沖洗水中的一路,另一路注水從反應產物空冷器A1101前注入。
1.2 高壓熱交換器設計條件
圖1換熱流程中5臺高壓熱交換器均為U型管熱交換器, 其位號、型號、管束材質、殼體材質、管程進/出口溫度、管程/殼程設計壓力等設計條件參數見表1。
表1 高壓熱交換器設計條件參數

表1中可見,為了降低換熱管被銨鹽腐蝕引發泄漏風險,高壓熱交換器的材質專門選擇了2205耐腐蝕雙相鋼和321耐腐蝕不銹鋼。
2 柴油加氫裝置高壓熱交換器泄漏情況
蘭州石化煉油廠柴油加氫裝置自2014-10改造后至2016-10運行期間,高壓熱交換器E1101和E1103先后發生多次內漏,經檢查均為制造原因引起。高壓熱交換器E1102運行一直較為穩定,整個運行期內柴油加氫裝置高壓系統總壓降一直維持在1.0 MPa設計范圍內,無明顯上升和變化趨勢。
2016-10-25, E1102突然發現內漏,裝置被迫停工檢修。隨后的檢查情況匯總為:①管程管口處干凈無結垢,管程出口側距離管口200 mm以內的換熱管內有大量白色垢物,垢物延伸至U型彎處,且垢物較硬,管程出口最上面9層管束有輕微堵塞,9層以下堵塞嚴重。②內窺鏡檢查管程入口至U型彎局部少量結鹽,近彎頭處結鹽嚴重。③配置碳酸氫鈉堿液(pH>9)清洗管程,發現120根管子不通。④渦流檢測發現,管程出口最上面9層管束管口至U型彎未發現嚴重減薄缺陷,9層以下管束堵塞嚴重,有19根換熱管減薄達20%,存在泄漏風險,管程入口至U型彎未發現嚴重減薄缺陷。檢查結束后E1102維修合計堵管174根,裝置得以開工繼續運行。2016-11-06T23:00,E1102再次出現內漏故障。解體檢查發現腐蝕嚴重,無法繼續使用。
3 高壓熱交換器E1102換熱管檢查
E1102解體后,管束最外側U型彎處大量換熱管外表面可見裂紋,導致管束無法檢修使用。對泄漏換熱管段取樣檢查,發現換熱管外表面裂紋沿環向延伸,裂口從換熱管外表向內里擴展,見圖2。
圖2 高壓熱交換器換熱管開裂情況
橫向切開泄漏換熱管,觀察到內部被大量沉積垢物堵塞,見圖3。沉積性垢物色白,取適量測試其水溶性,確認污垢為易溶于水物質。
圖3 高壓熱交換器管內壁垢物
清除換熱管內部白色污垢沉積物,可見換熱管裸露內表面上多處腐蝕坑及裂紋,見圖4。
圖4 高壓熱交換器換熱管內壁腐蝕形貌
對白色污垢沉積物進行的化學元素組成能譜分析結果見表2。
表2 白色垢物沉積物化學元素組成
根據GB/T 13298—2015金屬顯微組織檢驗方法,對換熱管內壁坑蝕和開裂部位試樣進行的材料組織形貌分析見圖5。裂紋起源于內表面腐蝕坑,沿橫截面方向擴展,分裂成2條呈樹枝狀分叉的主裂紋。2條裂紋形態與圖2所示換熱管外壁面的裂紋形態特征相似,根據圖5顯示的穿晶及沿晶擴展特征可判斷,換熱管發生了典型的應力腐蝕開裂。
圖5 試樣內壁組織及裂紋與腐蝕(200×)
進一步放大觀察換熱管內壁的腐蝕坑點(圖6),其形貌特點基本符合垢下腐蝕特征。
圖6 試樣內壁點腐蝕坑(100×)
從表2可以知道,白色污垢沉積物主要含氯元素,滴定法定性分析表明含銨根,可以斷定沉積在換熱管內表面堵塞管程介質流動的垢物主要成分為氯化銨。
4 高壓熱交換器E1102泄漏原因分析
4.1 設計與制造核驗
從圖1換熱流程可知,換熱流程中設計有注水沖洗預防銨鹽結晶措施。從表1參數可知,換熱管設計中選擇了耐腐蝕材料。從柴油加氫裝置自2014-10改造后至2016-10運行情況可知,E1102并無制造問題。
4.2 運行工況核驗
蘭州石化煉油廠柴油加氫裝置高壓熱交換器E1102在2016-07~2016-09的運行溫度見表3。
表3 高壓換熱器E1102運行溫度
從表3可知高壓熱交換器E1102管程的進口和出口溫度分別為269~278 ℃和201~205 ℃。從表1可知高壓熱交換器E1102管程的進口和出口設計溫度分別為314 ℃和274 ℃。由此可見,實際運行時高壓熱交換器E1102管程進口和出口溫度均大幅低于設計值。
4.3 泄漏原因分析
結合前述換熱管的檢查情況、換熱器設計與制造校驗及運行工況校驗,可進一步判斷蘭州石化煉油廠柴油加氫裝置高壓熱交換器E1102內漏的原因為,運行工況偏離設計工況,引發管程介質析出固體氯化銨。工況變化未引起重視,氯化銨析出物未得到及時消除并且越積越多,在換熱管內壁形成沉積物。沉積物不斷長大直至堵塞換熱管。換熱管內壁長期被沉積物覆蓋,造成管壁上的垢下腐蝕。最后,在管束殘余應力最集中的U型彎處發生氯化銨對321不銹鋼的氯化物應力腐蝕開裂,導致熱交換器管束泄漏。
5 高壓熱交換器E1102實際工況核算
蘭州石化煉油廠柴油加氫裝置高壓熱交換器E1102內漏的原因確定后,為了有效指導高壓熱交換器后續運行,從根本上解決換熱管結鹽、堵塞及腐蝕問題,針對E1102的實際運行工況做了進一步的結鹽溫度核算和換熱管壁溫核算。
5.1 氯化銨結鹽溫度核算
氯化銨析出與介質溫度、介質中氯化氫的含量和氨的含量密切相關[9],其表征參數為氯化銨分解反應平衡常數Kp,Kp的數值越大,氯化銨的析出溫度越高[6,10]。
2016年前三季度蘭州石化煉油廠柴油加氫裝置部分運行數據統計見表4。以表4的運行數據為基礎計算Kp 。氯化銨結鹽溫度核算時原料氯含量取表4中的最大值。
表4 2016年前三季度柴油加氫裝置部分運行數據
根據式(1)計算氯化銨分解反應平衡常數Kp(NH4Cl)。
Kp(NH4Cl)=p[HCl]p[NH3]
(1)式中,p[HCl]為HCl的分壓,p[NH3]為NH3的分壓。經計算,Kp(NH4Cl)=5.2×10-3。查氯化銨結晶熱平衡數據曲線(圖7),確定的氯化銨析出溫度為200 ℃。
圖7 氯化銨結晶熱平衡曲線
比較確定的氯化銨析出溫度與表3中201~205 ℃的E1102管程介質出口溫度可知,從理論上判斷氯化銨不會在E1102管程中結晶析出。
5.2 換熱管管壁溫度核算
蘭州石化煉油廠柴油加氫裝置高壓熱交換器E1102為間壁式傳熱過程,換熱管的傳熱方式為對流與傳導傳熱,由于緊貼換熱管內壁面存在層流底層(圖8),致使換熱管管壁溫度與介質溫度存在一定的溫度差,而當管壁上附著膠質或垢污時,進一步增加熱阻,降低總傳熱系數,導致換熱管管壁溫度與介質的溫差進一步加大[11-12]。
圖8 冷熱流體間壁傳熱過程示意圖
熱交換器的熱流量按式(2)計算[11]:
Φ=qA
(2)其中
q=KΔtm
(3)
(4)式(2)~式(4)中,Φ為熱流量,W;q為熱流密度,W/m2;K為傳熱系數,W/(m2·K);A為傳熱面積,m2;Δtm為平均傳熱溫差,Δt1為熱交換器端面1冷、熱流體的溫差,Δt2為換熱器端面2冷、熱流體的溫差,℃。在E1102的管程傳熱計算中,從表3中提取高壓熱交換器實際運行的管程和殼程進、出口溫度最大值,計算的Δt1=278-236=42(℃),Δt2=205-185=20 ℃。
根據式(4)計算的Δtm= 30 ℃。在E1102的管程傳熱計算中,從蘭州石化煉油廠柴油加氫裝置高壓熱交換器E1102項目資料中提取結焦狀態的總傳熱系數K=429.51 W/(m2·K),根據式(3)計算得q=12 885 W/m2。
在穩定情況下,管壁兩側給熱及間壁導熱過程的熱流量相等。考慮到3個傳熱過程的傳熱面積、熱通量各不相同,按工程慣例以管外表面為基準,則有[13-14]:
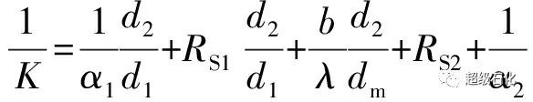
(5)式中,d1、d2、dm分別為換熱管內徑、外徑及內外徑的算數平均值,b為圓筒壁的壁厚,m;λ為換熱管的熱導率, W/(m·K);α1、α2分別為管程和殼程流體的傳熱系數,W/(m2·K);T、Tw、tw、t分別為熱流體溫度、熱流體側壁面溫度、冷流體側壁面溫度及冷流體溫度, K。
將管壁內側和外側的污垢熱阻Rs1和Rs2納入考慮,則有:
(6)根據總熱阻計算公式:
(7)可以推導出式(6)中分母項:
(8)將高壓熱交換器E1102結焦狀態總傳熱系數K=429.51 W/(m2·K)、圓筒壁厚b=2×10-3m、換熱管的熱導率λ=20 W/(m·K)、換熱管的平均直徑dm=17 mm、換熱管的外徑d2=19 mm、 殼程總結垢熱阻Rs2=0.000 344 m2·K/W、殼程中加氫精制后的柴油的給熱系數α2=856 W/(m2·K)帶入代入(8),計算的式(6)分母項為0.67×10-3m2·K/W。
根據式(6)計算的管程出口處的壁溫TW=197 ℃。所以,盡管管程介質出口溫度高于銨鹽結晶溫度,但管程出口處管壁溫度卻由于存在層流區及結焦問題而低于銨鹽結晶溫度,換熱管結鹽不可避免。
6 高壓熱交換器泄漏解決措施及效果驗證
6.1 解決措施
由于腐蝕嚴重,舊E1102無法繼續使用,于2016-11替換為新熱交換器。新熱交換器管束材質升級為耐腐蝕性能更好的2507雙相不銹鋼。
根據對實際工況下換熱管管壁溫度的核算,提出預防銨鹽在換熱管內結晶的操作控制措施,①控制E1102管程出口介質溫度接近210 ℃。②控制E1102管程入口溫度在270 ℃左右。
根據對氯化銨結晶溫度的核算,提出保障高壓熱交換器免受腐蝕的操作控制措施,①控制原料組成性質基本穩定,避免原料中氯離子及氮質量分數不穩定,尤其是氯離子質量分數的控制。若原料中氯離子質量分數大于3×10-6 ,則根據計算提高管程出口溫度;若原料中氯離子質量分數小于3×10-6,則不予調整。②根據Kp值的影響因素,2017-05對防喘振線進行校正,將防喘振閥關小,提高了混氫流量,以降低銨鹽結晶溫度。
6.2 效果驗證
新高壓熱交換器E1102在2016-11~2017-05運行期間,管程介質出口溫度控制高于210 ℃,系統壓降穩定,循環氫壓縮機出入口壓差一直穩定在0.9 MPa左右,換熱效果良好。
2017-05該熱交換器檢修結果良好,管程出入口換熱管內干凈無垢物,換熱管內無結鹽,換熱管內壁無腐蝕痕跡。
7 結語
針對發生泄漏的蘭州石化煉油廠柴油加氫裝置高壓熱交換器E1102,進行了設計、制造及運行工況分析,確定造成換熱管腐蝕開裂的主要原因為實際工況偏離設計工況。根據實際工況重新核算了銨鹽結晶溫度,對比了銨鹽結晶溫度與管程介質運行溫度,確認實際工況的偏離不足以造成氯化銨結晶析出。在考慮換熱管內壁存在層流區及結焦等非理想情況后,重新核算了換熱管管壁溫度,確認換熱管內壁面溫度低于介質溫度和銨鹽結晶溫度,是造成熱交換器E1102泄漏報廢的根本原因。新更換熱交換器E1102升級了換熱管束材質,增加了結鹽運行控制預防措施,有效控制了銨鹽結晶腐蝕問題,保證了裝置的長周期安全平穩運行。











